Dos alumnos que se mueven con aceleraciones distintas en sentido contrario (6391)

, por F_y_Q

Dos alumnos muy enojados entre sí están en reposo uno frente al otro, distanciados 24 metros. En un instante dado, ambos parten para encontrarse. Suponiendo que sus aceleraciones son constantes y de 1.6 \ \textstyle{m\over s^2} y 1.4 \ \textstyle{m\over s^2}, respectivamente. Determina:

a) En qué punto del camino se encuentran.

b) Qué velocidad tiene cada uno en ese instante.

P.-S.

Estás ante un problema de composición de movimientos en los que el movimiento relativo es la suma de los movimientos de cada alumno por ser de sentido contrario.

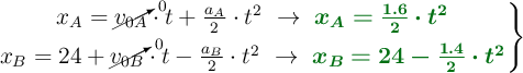
La única referencia que tienes es que, entre ambos, tienen que recorrer 24 m para encontrarse y que se están moviendo el mismo tiempo, por partir a la vez. Al ser MRUA ambos movimientos, sus posiciones serán:

\left x_A = \cancelto{0}{v_{0A}}\cdot t + \frac{a_A}{2}\cdot t^2\ \to\ {\color[RGB]{2,112,20}{\bm{x_A = \frac{1.6}{2}\cdot t^2}}} \atop x_B = 24 + \cancelto{0}{v_{0B}}\cdot t - \frac{a_B}{2}\cdot t^2\ \to\ {\color[RGB]{2,112,20}{\bm{x_B = 24 - \frac{1.4}{2}\cdot t^2}}} \right \}

Igualas ambas ecuaciones porque será cuando se encuentren:

0.8t^2 = 24 - 0.7t^2\ \to\ t = \sqrt{\frac{24\ \cancel{m}}{(0.8 + 0.7)\ \frac{\cancel{m}}{s^2}}} = \color[RGB]{0,112,192}{\bf 4\ s}

a) La posición la puedes dar en función del alumno A:

x_A = \frac{1.6}{2}\ \frac{m}{\cancel{s^2}}\cdot 4^2\ \cancel{s^2} = \fbox{\color[RGB]{192,0,0}{\bf 12.8\ m}}


b) La velocidades de cada uno son:

v_A = \cancelto{0}{v_{0A}} + a_A\cdot t = 1.6\ \frac{m}{s\cancel{^2}}\cdot 4\ \cancel{s} = \fbox{\color[RGB]{192,0,0}{\bm{6.4\ \frac{m}{s}}}}


v_B = \cancelto{0}{v_{0B}} - a_B\cdot t = -1.4\ \frac{m}{s\cancel{^2}}\cdot 4\ \cancel{s} = \fbox{\color[RGB]{192,0,0}{\bm{-5.6\ \frac{m}{s}}}}