Distancia total recorrida por un móvil que describe tres movimientos distintos

, por F_y_Q

Un móvil parte del reposo con una aceleración constante de 2 \ \textstyle{m\over s^2} durante 4 s. Luego avanza con rapidez constante durante 3 s y finalmente desacelera a razón de 4\ \textstyle{m\over s^2} hasta detenerse . Halla la distancia total recorrida.

P.-S.

Vamos a ir calculando las distancias que recorre en cada tramo y luego las sumaremos para obtener la distancia final:

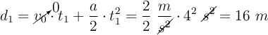
Primer tramo con MRUA.
La distancia que recorre en este tramo es:

d_1 = \cancelto{0}{v_0}\cdot t_1 + \frac{a}{2}\cdot t_1^2 = \frac{2}{2}\ \frac{m}{\cancel{s^2}}\cdot 4^2\ \cancel{s^2} = 16\ m

También debemos calcular la velocidad que tiene el móvil después de los cuatro segundos porque será la velocidad con la que se mueva en el siguiente tramo:

v_1 = \cancelto{0}{v_0} + a\cdot t_1 = 2\ \frac{m}{s\cancel{^2}}\cdot 4\ \cancel{s} = 8\ \frac{m}{s}

Segundo tramo con MRU.
La distancia que recorre es:

d_2 = v_2\cdot t_2 = 8\ \frac{m}{\cancel{s}}\cdot 3\ \cancel{s} = 24\ m

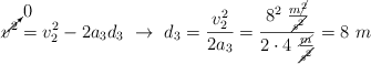
Tercer tramo con MRUA.
Como no conocemos el tiempo que tarda en detenerse pero sí la aceleración y la velocidad inicial, podemos calcular la distancia del siguiente modo:

\cancelto{0}{v^2} = v_2^2 - 2a_3d_3\ \to\ d_3 = \frac{v_2^2}{2a_3} = \frac{8^2\ \frac{m\cancel{^2}}{\cancel{s^2}}}{2\cdot 4\ \frac{\cancel{m}}{\cancel{s^2}}} = 8\ m

La distancia total recorrida por el móvil es:

d_T = (16 + 24 + 8)\ m = \fbox{\color{red}{\bm{48\ m}}}