Distancia total recorrida en un movimiento uniforme 0001

, por F_y_Q

Un atleta se mueve a razón de 6 m/s durante 10 s. Si decide seguir corriendo durante 6 s más. ¿Cuánto recorrerá en total?

a) 64 m

b) 86 m

c) 96 m

d) 74 m

e) 84 m

P.-S.

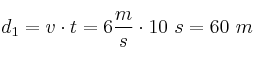
En los primeros 10 s habrá recorrido:

d_1 = v\cdot t = 6\frac{m}{s}\cdot 10\ s = 60\ m


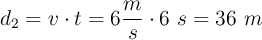
Si sigue corriendo durante otros 6 s:

d_2 = v\cdot t = 6\frac{m}{s}\cdot 6\ s = 36\ m


La distancia total recorrida será: (60 + 36) m = 96 m
Luego la respuesta correcta será c) 96 m