Distancia recorrida por un ciclista con MRUA 0001

, por F_y_Q

Un ciclista, que tiene un MRUA, inicia su movimiento con velocidad 2 m/s y después de 2 s recorre 12 m. ¿Qué distancia recorre el ciclista en el tercer segundo?

P.-S.

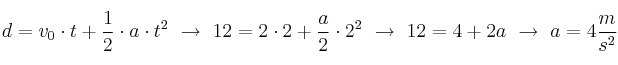
En primer lugar hay que calcular la aceleración del ciclista. Para ello vamos a usar los datos que nos facilitan en la siguiente expresión:

d = v_0\cdot t + \frac{1}{2}\cdot a\cdot t^2\ \to\ 12 = 2\cdot 2 + \frac{a}{2}\cdot 2^2\ \to\ 12 = 4 + 2a\ \to\ a = 4\frac{m}{s^2}


La distancia que recorrerá el ciclista tres segundos después de iniciar el movimiento será:

d_{3s} = v_0t + \frac{a}{2}t^2\ \to\ d_{3s} =2\frac{m}{s}\cdot 3\ s + \frac{4}{2}\frac{m}{s^2}\cdot 3^2\ s^2 = 24\ m


Pero debemos descontar los 12 m iniciales que ha recorrido en los dos primeros segundos, por lo tanto lo que recorre en el tercer segundo será: (24 - 12) m = 12 m.