Distancia recorrida hasta pararse un coche 0001

, por F_y_Q

Un automóvil reduce su velocidad de 84 km/h a 6 m/s y durante ese tiempo avanza 120 m. Calcula la aceleración y la distancia que avanza hasta detenerse después de esos 120 m.

P.-S.

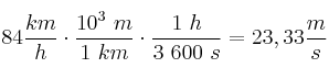
En primer lugar hay que convertir la velocidad inicial a m/s para que el problema sea homogéneo:
84\frac{km}{h}\cdot \frac{10^3\ m}{1\ km}\cdot \frac{1\ h}{3\ 600\ s} = 23,33\frac{m}{s}
La ecuación que relaciona la variación de la velocidad con la distancia recorrida y la aceleración es: v^2 = v_0^2 + 2ad.
Despejando:

a = \frac{v^2 - v_0^2}{2d} = \frac{(6^2 - 23,33^2)\ m^2/s^2}{2\cdot 120\ m} = \bf -2,12\frac{m}{s^2}


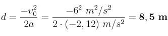
La distancia que recorrerá después de los 120 m hasta pararse se puede obtener a partir de la misma ecuación de antes, pero despejando esa distancia y considerando que la velocidad final es cero y la inicial son los 6 m/s:

d = \frac{-v_0^2}{2a} = \frac{-6^2\ m^2/s^2}{2\cdot (-2,12)\ m/s^2} = \bf 8,5\ m