Distancia recorrida en un MRU y cambio de unidades 0001

, por F_y_Q

Calcula la distancia recorrida en un cuarto de hora por un cuerpo cuya velocidad es de 8 cm/s. Expresa la respuesta en metros.

P.-S.

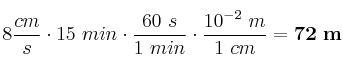
Un cuarto de hora son 15 minutos:

8\frac{cm}{s}\cdot 15\ min\cdot \frac{60\ s}{1\ min}\cdot \frac{10^{-2}\ m}{1\ cm} = \bf 72\ m