Distancia que separa a dos vehículos cuando uno empieza a frenar (6726)

, por F_y_Q

Dos automóviles A y B están uno junto al otro, viajan en la misma dirección y con la misma rapidez. Si B mantiene su rapidez constante, mientras que A empieza a desacelerar, ¿cuál será la distancia que separará a ambos automóviles en el instante en el que A se detiene?

P.-S.

La velocidad de A seguirá la ecuación: v_A = v_B - at . Si impones la condición de que se detenga, puedes escribir su aceleración en función de la velocidad de B:

\cancelto{0}{v_A} = v_B - at\ \to\ a = \frac{v_B}{t}

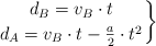
Las posiciones de ambos automóviles cuando transcurra el tiempo t que tarda A en detenerse siguen las ecuaciones:

\left d_B = v_B\cdot t \atop
d_A = v_B\cdot t - \frac{a}{2}\cdot t^2 \right\}

Si sustituyes el valor de la aceleración en la ecuación de A:

d_A = v_B\cdot t - \frac{v_B}{2\cdot \cancel{t}}\cdot t\cancel{^2}\ \to\ \color[RGB]{0,112,192}{\bm{d_A = \frac{v_B\cdot t}{2}}}

La diferencia entre ambas distancias será:

d_B - d_A = v_B\cdot t - \frac{v_B\cdot t}{2}\ \to\ \fbox{\color[RGB]{192,0,0}{\bm{(d_B - d_A) = \frac{v_B\cdot t}{2}}}}