Distancia que separa a dos vehículos con velocidades distintas (4194)

, por F_y_Q

Carlos y Jaime van en sus vehículos, cuyas velocidades son 10 km/h y 12 km/h respectivamente, y se cruzan perpendicularmente en un punto del camino. Al cabo de seis horas de recorrido, ¿cuál es la distancia que separará a los dos vehículos?

P.-S.

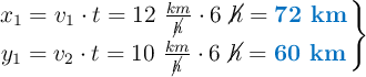
Para hacer este problema es necesario tener cuenta que las velocidades de ambos coches son perpendiculares. Al cabo de las seis horas las posiciones de los coches son:

\left x_1 = v_1\cdot t = 12\ \frac{km}{\cancel{h}}\cdot 6\ \cancel{h} = {\color[RGB]{0,112,192}{\textbf{72\ km}}} \atop y_1 =v_2\cdot t = 10\ \frac{km}{\cancel{h}}\cdot 6\ \cancel{h} = {\color[RGB]{0,112,192}{\textbf{60 km}}} \right \}

Esto quiere decir que uno de los coches habrá recorrido 72 km en horizontal y el otro 60 km en vertical, por lo tanto, la distancia que separa a ambos coches será la hipotenusa del triángulo que puedes formar:

d = \sqrt{x_1^2 + y_1^2} = \sqrt{(72^2 + 60^2)\ km^2} = \fbox{\color[RGB]{192,0,0}{\textbf{93.7 km}}}