Distancia que recorre una caja a la que se aplica una fuerza (5866)

, por F_y_Q

Una polea levantó una caja con una fuerza de 25\ kg\cdot m\cdot s^{-2}, realizando un trabajo de 100\ kg\cdot m^2\cdot s^{-2}. ¿Cuál es la distancia recorrida por la caja?

P.-S.

El trabajo mecánico se define como el producto escalar de la fuerza aplicada por desplazamiento provocado. Como la fuerza y el desplazamiento tienen la misma dirección y sentido:

W = \vec F\cdot \vec d = F\cdot d\cdot \cancelto{1}{cos\ 0^o}\ \to\ \color[RGB]{2,112,20}{\bm{W = F\cdot d}}

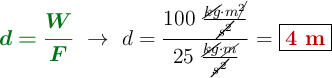
Despejas el valor de la distancia y calculas:

{\color[RGB]{2,112,20}{\bm{d = \frac{W}{F}}}}\ \to\ d = \frac{100\ \frac{\cancel{kg}\cdot m\cancel{^2}}{\cancel{s^2}}}{25\ \frac{\cancel{kg}\cdot \cancel{m}}{\cancel{s^2}}} = \fbox{\color[RGB]{192,0,0}{\bf 4\ m}}