Distancia entre dos semáforos conociendo el movimiento de un coche (7165)

, por F_y_Q

Un auto parte del reposo y en 8 s alcanza una velocidad de 72 km/h. Sigue a esa velocidad durante 20 s para luego detenerse frente a otro semáforo en 4 s. ¿Qué distancia hay entre los semáforos?

P.-S.

Lo primero que debes hacer es expresar la velocidad en m/s para que el ejercicio sea homogéneo:

72\ \frac{\cancel{km}}{\cancel{h}}\cdot \frac{10^3\ m}{1\ \cancel{km}}\cdot \frac{1\ \cancel{h}}{3.6\cdot 10^3\ s} = \color[RGB]{0,112,192}{\bm{20\ \frac{m}{s}}}

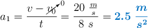
Calculas la aceleración con la que se mueve el coche en el primer tramo:

a_1 = \frac{v - \cancelto{0}{v_0}}{t} = \frac{20\ \frac{m}{s}}{8\ s} = \color[RGB]{0,112,192}{\bm{2.5\ \frac{m}{s^2}}}

La distancia que recorre en este tramo es:

d_1 = \cancelto{0}{v_0}\cdot t + \frac{a}{2}\cdot t^2 = 1.25\ \frac{m}{\cancel{s^2}}\cdot 8^2\ \cancel{s^2} = \color[RGB]{0,112,192}{\bf 80\ m}}

En el segundo tramo permanece a velocidad constante con lo que la distancia que recorre es:

d_2 = v\cdot t = 20\ \frac{m}{\cancel{s}}\cdot 20\ \cancel{s} = \color[RGB]{0,112,192}{\bf 400\ m}}

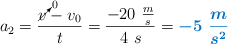
La aceleración con la que frena en el tercer tramo es:

a_2 = \frac{\cancelto{0}{v} - v_0}{t} = \frac{- 20\ \frac{m}{s}}{4\ s} = \color[RGB]{0,112,192}{\bm{- 5\ \frac{m}{s^2}}}

La distancia recorrida en el último tramo es:

d_3 = v_0\cdot t + \frac{a_2}{2}\cdot t^2 = 20\ \frac{m}{\cancel{s}}\cdot 4\ \cancel{s} - 2.5\ \frac{m}{\cancel{s^2}}\cdot 4^2\ \cancel{s^2} = \color[RGB]{0,112,192}{\bf 40\ m}}

La distancia entre los semáforos es la suma de las distancias recorridas en cada tramo:

d_T = (80 + 400 + 40)\ m = \fbox{\color[RGB]{192,0,0}{\bf 520\ m}}


Puedes descargar el enunciado y la resolución del problema en formato EDICO si lo necesitas.