Distancia entre dos destinos y velocidad para llegar a tiempo (5936)

, por F_y_Q

El conductor de un tren sale de su destino a una velocidad de 100 km/h y se da cuenta que llegará con una hora de retraso a su destino, por lo que decide acelerar a una velocidad de 150 km/h, aunque se da cuenta de que a esa velocidad llegará con una hora de anticipación.

a) ¿A qué velocidad debe marchar para llegar puntualmente a su destino?

b) ¿Cuál es la distancia entre el punto de salida y punto de llegada?

P.-S.

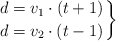
La clave para resolver el ejercicio está en que el tren se mueve con movimiento uniforme y que la distancia es siempre la misma, vaya a la velocidad que vaya. La puedes expresar en función de las velocidades si llamas t al tiempo al que llegaría a la hora correcta:

\left d = v_1\cdot (t + 1) \atop d = v_2\cdot (t - 1) \right \}

Si igualas ambas ecuaciones y despejas el valor del tiempo:

100\ \cancel{\frac{km}{h}}(t + 1) = 150\ \cancel{\frac{km}{h}}(t - 1)\ \to\ t = \frac{250}{50} = \color[RGB]{0,112,192}{\bf 5\ h}

b) Lo primero que calculas es la distancia que separa a la salida y el destino:

d = 100\ \frac{km}{\cancel{h}}\cdot (5 + 1)\ \cancel{h} = \fbox{\color[RGB]{192,0,0}{\bf 600\ km}}


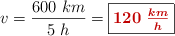
a) Solo te queda calcular la velocidad adecuada para llegar con puntualidad:

v = \frac{600\ km}{5\ h} = \fbox{\color[RGB]{192,0,0}{\bm{120\ \frac{km}{h}}}}


Descarga el enunciado y la resolución del problema en formato EDICO si lo necesitas.