Distancia de seguridad mínima para evitar una colisión (1144)

, por F_y_Q

Calcular la distancia de seguridad que debe dejar un conductor cuyo coche frena con una aceleración de 4\ m\cdot s^{-2} si viaja a 90\ km\cdot h^{-1} y su tiempo de reacción es 0.8 segundos.

P.-S.

Dado que las unidades de velocidad y aceleración no son homogéneas, es necesario hacer la conversión. Lo ideal es trabajar en el Sistema Internacional, por lo que debes convertir la velocidad:

90\ \frac{km}{h}\cdot \frac{10^3\ m}{1\ \cancel{km}}\cdot \frac{1\ \cancel{h}}{3.6\cdot 10^3\ s}​= \color[RGB]{0,112,192}{\bm{25\ m\cdot s^{-1}}}

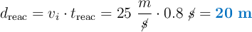
Lo segundo que debes hacer es calcular la distancia recorrida durante el tiempo de reacción, que es de 0.8 segundos, tiempo en el que el coche sigue viajando a la velocidad inicial:

d_{\text{reac}} = v_i\cdot t_{\text{reac}} = 25\ \frac{m}{\cancel{s}}\cdot 0.8\ \cancel{s} = \color[RGB]{0,112,192}{\bf 20\ m}

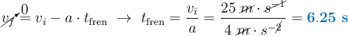
El coche se detendrá cuando su velocidad final sea nula. Si tienes en cuenta la ecuación que relaciona el cambio de velocidad con la aceleración y el tiempo podrás calcular el tiempo necesario para ello:

\cancelto{0}{v_f} = v_i - a\cdot t_{\text{fren}}\ \to\ t_{\text{fren}} = \frac{v_i}{a} = \frac{25\ \cancel{m}\cdot \cancel{s^{-1}}}{4\ \cancel{m}\cdot s^{-\cancel{2}}}} = \color[RGB]{0,112,192}{\bf 6.25\ s}

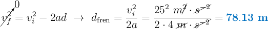
Para calcular la distancia de frenado, que es la distancia necesaria para que el coche se detenga, debes tener en cuenta la ecuación que relaciona la variación de la velocidad con la distancia:

\cancelto{0}{v_f^2} = v_i^2 - 2ad\ \to\ d_{\text{fren}} = \frac{v_i^2}{2a} = \frac{25^2\ m\cancel{^2}\cdot \cancel{s^{-2}}}{2\cdot 4\ \cancel{m}\cdot \cancel{s^{-2}}} = \color[RGB]{0,112,192}{\bf 78.13\ m}

La distancia de seguridad es la suma de las distancias de reacción y de frenado:

d_T = d_{\text{reac}} + d_{\text{fren}} = (20 + 78.13)\ m = \fbox{\color[RGB]{192,0,0}{\bf 98.13\ m}}

Palabras clave