Distancia de frenado de un tren con movimiento acelerado 0001

, por F_y_Q

Un tren marcha con una aceleración constante de 4\ m/s^2. Partiendo del reposo, alcanza su máxima velocidad a los 6 minutos, en cuyo instante aplica los frenos y se detiene en minuto y medio. ¿Cuál es la distancia que recorre antes de detenerse?

P.-S.

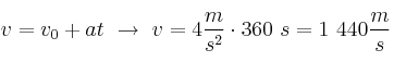
La velocidad a la que inicia la frenada, es decir, a los 360 s de iniciado el movimiento, es:
v = v_0 + at\ \to\ v = 4\frac{m}{s^2}\cdot 360\ s = 1\ 440\frac{m}{s}
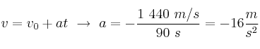
La velocidad final que tendrá el tren 90 s después de iniciar la frenada será cero, por lo que la aceleración de la frenada es:
v = v_0 + at\ \to\ a = -\frac{1\ 440\ m/s}{90\ s} = -16\frac{m}{s^2}
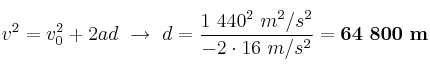
Ahora podemos calcular la distancia que recorrerá el tren antes de parar:

v^2 = v_0^2 + 2ad\ \to\ d = \frac{1\ 440^2\
 m^2/s^2}{-2\cdot 16\ m/s^2} = \bf 64\ 800\ m