P.-S.
Planteo la resolución del ejercicio de dos modos distintos: un modo numérico y otro que llamaré analítico. Te recomiendo que trates de comprender ambos métodos y que centres tu atención en el segundo método, por ser más general y servir para entender la esencia del ejercicio.
MÉTODO NUMÉRICO
Voy a suponer que la aceleración de frenada del vehículo es constante una vez que se pisa el pedal de freno a fondo. Calcularé esa aceleración en el caso de que circula a 50 km/h y luego usaré el dato para el caso en el que ha aumentado la velocidad.
Es necesario trabajar en Sistema Internacional de unidades y convertir la velocidad a m/s para que el ejercicio sea homogéneo. Recuerda que se puede hacer este paso simplemente dividiendo la velocidad por 3,6:
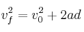
La expresión que relaciona las velocidades inicial y final con la aceleración y la distancia de frenado es:
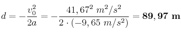
. La velocidad final del automóvil tiene que ser cero para que se detenga. Despejo el valor de la aceleración y sustituyo los datos del enunciado en las unidades correctas:
(La aceleración es negativa porque tiene sentido contrario al movimiento del automóvil, es decir, es de frenado).
Usaré la misma expresión pero despejando el valor de la distancia que necesita para frenar cuando la velocidad es de 150 km/h. Si hago la conversión a m/s del mismo modo de antes, el valor que se obtiene es
:

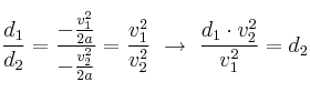
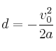
MÉTODO ANALÍTICO Si centras tu atención en la expresión que relaciona las velocidades con la aceleración y la distancia, y suponiendo que esta aceleración es constante, puedes despejar el valor de la distancia de frenado y analizar la relación que existe con el valor de la velocidad inicial:
El denominador de esta expresión será constante sea cual sea la velocidad inicial, por lo que la distancia de frenado depende solo de

. En el enunciado nos dicen que la velocidad inicial se hace el triple en el segundo caso con respecto al primero. Vamos a dividir ambos casos, el caso inicial y cuando la velocidad se triplica:
Entre el primer caso y el segundo la única diferencia es que se triplica la velocidad inicial, es decir, podemos escribir que

:

Tal y como puedes ver, lo que se obtiene es que si triplicamos la velocidad inicial multiplicamos por nueve la distancia de frenado, es una relación cuadrática.