Distancia de frenado 0001

, por F_y_Q

Un auto que viaja con velocidad de 72 km/h frena y se detiene en 4 segundos. ¿Qué distancia recorrió mientras frenaba?

P.-S.

Primero convertimos la velocidad a unidades SI:

72\frac{km}{h}\cdot \frac{10^3\ m}{1\ km}\cdot \frac{1\ h}{3\ 600\ s} =20\frac{m}{s}


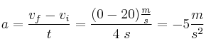
Como la velocidad final es cero, podemos determinar la aceleración del vehículo:

a = \frac{v_f - v_i}{t} = \frac{(0 - 20)\frac{m}{s}}{4\ s} = -5\frac{m}{s^2}


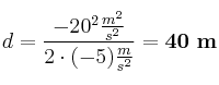
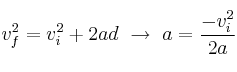
La distancia que recorrerá la podemos obtener a partir de la expresión:
v_f^2 = v_i^2 + 2ad\ \to\ a = \frac{-v_i^2}{2a}

d = \frac{-20^2\frac{m^2}{s^2}}{2\cdot (-5)\frac{m}{s^2}} = \bf 40\ m