Distancia a la que un ratón no es cazado por un águila que cae en picado (7402)

, por F_y_Q

Un águila percibe un objeto si este cubre un ángulo mayor o igual a un minuto. Si un roedor mide 12 cm y es capaz de desplazarse a una velocidad de 3.0\ m\cdot s^{-1} calcula la distancia máxima a la que el roedor puede alejarse de su refugio para evitar ser atrapado por el águila. Supón que el águila divisa el roedor desde la mayor altura posible y cae en picado desde el reposo.

P.-S.

Lo primero que debes calcular es la altura máxima desde la que el águila es capaz de ver al ratón. Para ello debes hacer un esquema similar a este:


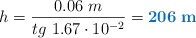
La altura a la que se encuentra el águila la puedes calcular a partir de la tangente del triángulo rectángulo: Para ello debes tener en cuenta que 60 ^o equivalen a 1 minuto:

h = \frac{0.06\ m}{tg\ 1.67\cdot 10^{-2}} = \color[RGB]{0,112,192}{\bf 206\ m}

Como el águila cae en picado, el tiempo que necesita para llegar al suelo desde esa altura es:

h = \frac{g}{2}\cdot t^2\ \to\ \color[RGB]{2,112,20}{\bm{t_v = \sqrt{\frac{2h}{g}}}}

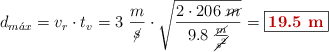
Como el ratón se desplaza con velocidad constante, la distancia que recorrería en ese tiempo es:

d_{m\acute{a}x} = v_r\cdot t_v = 3\ \frac{m}{\cancel{s}}\cdot \sqrt{\frac{2\cdot 206\ \cancel{m}}{9.8\ \frac{\cancel{m}}{\cancel{s^2}}}} = \fbox{\color[RGB]{192,0,0}{\bf 19.5\ m}}


El ratón no debe estar a más de 19.5 m de su refugio para no ser atrapado.