Dirección del movimiento de una partícula sabiendo las componentes de su velocidad (513)

, por F_y_Q

Calcula la dirección del movimiento rectilíneo de una partícula cuyas componentes de la velocidad son \vec{v}_x = 3\ \vec{i} y \vec{v}_y = -2\ \vec{j}

P.-S.

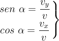
Para hacer el ejercicio solo tienes que buscar la relación triginométrica entre las componentes de la velocidad. Puedes definir el seno y el coseno del ángulo que forma la velocidad con la dirección horizontal como:

\left sen\ \alpha = \dfrac{v_y}{v} \atop cos\ \alpha = \dfrac{v_x}{v} \right \}

La tangente del ángulo es el cociente entre ambas:

tg\ \alpha = \frac{sen\ \alpha}{cos\ \alpha} = \color[RGB]{0,112,192}{\bm{\frac{-2}{3}}}

El ángulo que forma con el eje OX es, por lo tanto:

\alpha = arctg\ \frac{-2}{3} = \fbox{\color[RGB]{192,0,0}{\bm{-33.7^o}}}

Palabras clave