Diferencia de presión en la escotilla de un submarino 0001

, por F_y_Q

Un submarino se sumerge a una profundidad de 120 ft y se nivela. El interior del submarino se mantiene a presión atmosférica. ¿Cuáles son la presión y la fuerza total aplicadas a una escotilla de 2 ft de ancho y 3 ft de largo? El peso especifico del agua del mar es de 64\ lb/ft^3 aproximadamente.

P.-S.

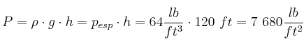
La presión externa que soporta el submarino a esa profundidad se puede calcular a partir del peso específico del agua de mar:

P = \rho\cdot g\cdot h = p_{esp}\cdot h = 64\frac{lb}{ft^3}\cdot 120\ ft = 7\ 680\frac{lb}{ft^2}


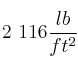
La presión total que sufra la escotilla será diferencia de presión entre la exterior y la interior. La interior es 1 atm, que equivale a 2\ 116\frac{lb}{ft^2}, luego la presión total es:
P_T = \Delta P = (P_{ext} - P_i) =(7\ 680 - 2\ 116)\frac{lb}{ft^2} = \bf 5\ 564\frac{lb}{ft^2}
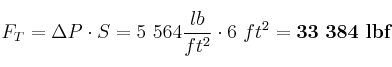
La fuerza total será el producto de la presión total por la superficie de la escotilla rectangular (S = 2\ ft\cdot 3\ ft = 6\ ft^2):

F_T = \Delta P\cdot S = 5\ 564\frac{lb}{ft^2}\cdot 6\ ft^2 = \bf 33\ 384\ lbf