Desplazamiento, velocidad media y aceleración de un coche 0001

, por F_y_Q

Un vehículo viaja en una dirección con una velocidad constante de 40 km/h durante 15 minutos de recorrido y posteriormente regresa con una velocidad de 30 km/h durante 20 minutos. Calcula, en unidades SI:

a) El desplazamiento que tuvo el vehículo.

b) Su velocidad media.

c) Su aceleración.

P.-S.

Convertimos las velocidades y los tiempos en unidades SI para que el problema sea homogéneo, es decir, esté en las mismas unidades:
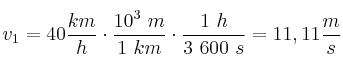
v_1=40\frac{km}{h}\cdot \frac{10^3\ m}{1\ km}\cdot \frac{1\ h}{3\ 600\ s} = 11,11\frac{m}{s}
Del mismo se obtiene que la segunda velocidad es: v_2 = 8,33\frac{m}{s}
Los tiempos son:
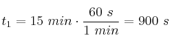
t_1 = 15\ min\cdot \frac{60\ s}{1\ min} = 900\ s.
El segundo tiempo será: t_2 = 1\ 200\ s.
a) El desplazamiento es igual a la variación de la posición: \Delta r = x_2 - x_1
x_1 = v_1\cdot t_1 = 11,11\frac{m}{s}\cdot 900\ s = 9\ 999\ m
De la misma manera: x_2 = 9\ 996\ m
(Hay que tener en cuenta que la diferencia que se obtiene es debido al redondeo de las velocidades que hemos hecho). Ambas posiciones se pueden aproximar a 10 000 m, que es lo que se obtendría si se hace en km/h y los minutos expresados en horas.
Por lo tanto, teniendo en cuenta lo anterior, el desplazamiento sería cero: \bf \Delta r = 0.
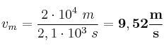
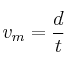
b) La velocidad media sería: v_m = \frac{d}{t}. La distancia que recorre el vehículo es 20 000 m y el tiempo son 2 100 s:

v_m = \frac{2\cdot 10^4\ m}{2,1\cdot 10^3\ s} = \bf 9,52\frac{m}{s}


c) La aceleración, que es vectorial, sería la variación de la velocidad con el tiempo:

a_m = \frac{v_2 - v_1}{t} = \frac{8,33 - 11,11)\ m/s}{2\ 100\ s} = \bf -1,32\cdot 10^{-3}\frac{m}{s^2}