Cuerpo que cae libremente y desciende hasta el fondo de un pozo

, por F_y_Q

Un cuerpo se deja caer en el vacío desde una altura L. Se sabe que en su caída pasa cerca de un cuadro de 1 m de altura, recorriéndolo en 0.25 s. A partir de que termina de cruzar el cuadro se toma otros 3.55 s para llegar al nivel del suelo, donde se encuentra un pozo de profundidad K. Desde el momento en el que cruza la boca del pozo hasta que se escucha el sonido del golpe de la piedra con el fondo pasan 4 s, siendo la velocidad del sonido de 330 m/s. Halla:

a) La altura L desde la que se deja caer la piedra.

b) El instante en el que llega al suelo.

c) La altura a la que se halla el comienzo del cuadro (marco superior del mismo).

d) La profundidad K del pozo.

P.-S.

Como sabes el tiempo que tarda en recorrer el metro del cuadro puedes saber la velocidad con la que llega al lado superior del cuadro:

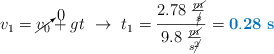
d_1 = v_1\cdot t + \frac{g}{2}\cdot t^2\ \to\ v_1 = \frac{d - 4.9\cdot t^2}{t} = \frac{1\ m - 4.9\ \frac{m}{\cancel{s^2}}\cdot 0.25^2\ \cancel{s^2}}{0.25\ s} = \color[RGB]{0,112,192}{\bm{2.78\ \frac{m}{s}}}

La velocidad que lleva una vez que recorre el cuadro es:

v_2 = v_1\cdot t + g\cdot t = 2.78\ \frac{m}{s} + 9.8\ \frac{m}{s\cancel{^2}}\cdot 0.25\ \cancel{s} = \color[RGB]{0,112,192}{\bm{5.23\ \frac{m}{s}}}

a) La altura la puedes calcular haciendo la distancia que recorre en cada tramo, antes del cuadro y después del cuadro, y sumándolas.

En el primer tramo:

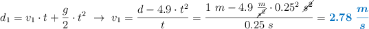
v_1 = \cancelto{0}{v_0} + gt\ \to\ t_1 = \frac{2.78\ \frac{\cancel{m}}{\cancel{s}}}{9.8\ \frac{\cancel{m}}{s\cancel{^2}}} = \color[RGB]{0,112,192}{\bf 0.28\ s}

x_1 = \cancelto{0}{v_0}\cdot t_1 + 4.9\ \frac{m}{\cancel{s^2}}\cdot 0.28^2\ \cancel{s^2} = \fbox{\color[RGB]{192,0,0}{\bf 0.38\ m}}


Este resultado se corresponde con el apartado c) del problema.

En el segundo tramo:

x_2 = 5.23\ \frac{m}{\cancel{s}}\cdot 3.55\ \cancel{s} + 4.9\ \frac{m}{\cancel{s^2}}\cdot 3.55^2\ \cancel{s^2} = \color[RGB]{2,112,20}{\bf 80.3\ m}

La altura L desde la que se deja caer es:

L = x_1 + x_2 = (0.38 + 80.3)\ m = \fbox{\color[RGB]{192,0,0}{\bf 80.7\ m}}


b) El tiempo que transcurre desde que se deja caer hasta llegar al suelo es:

t_3 = (t_1 + 0.25 + 3.55)\ s = (0.28 + 0.25 + 3.55)\ s = \fbox{\color[RGB]{192,0,0}{\bf 4.08\ s}}



Es necesario saber con qué velocidad llega el cuerpo a la boca del pozo:

v_3 = \cancelto{0}{v_0} + g\cdot t_3 = 9.8\ \frac{m}{s\cancel{^2}}\cdot 4.08\ \cancel{s} = \color[RGB]{0,112,192}{\bf 40\ \frac{m}{s}}

d) Para calcular la profundidad K del pozo es necesario tener en cuenta que el cuerpo recorre esa profundidad como movimiento acelerado, mientras que el sonido lo hace como movimiento uniforme. Además, el tiempo total (4 s) será la suma del tiempo durante el que desciende el cuerpo por el pozo (t) y el tiempo durante el que el sonido asciende el pozo (t_s):

\left
K = 40\cdot t + 4.9\cdot t^2 \atop
K = v_s\cdot t_s \atop
\right \}\ \to\ 40t + 4.9t^2 = 330(4 - t)

Resuelves la ecuación de segundo grado anterior:

\begin{array}{ccc} & & t_1 = \frac{-370+\sqrt{162772}}{9.8}=\color[RGB]{0,112,192}{\bf 3.41\ s}\\ & \nearrow &\\ t=\frac{-370\pm \sqrt{370^2-4 \cdot4.9\cdot(-1320)}}{2 \cdot4.9}=
\frac{-370\pm \sqrt{162772}}{9.8}& &\\ & \searrow &\\& &t_2 = \frac{-370-\sqrt{162772}}{9.8}=\cancel{-78.9\ s}\end{array}

El tiempo que el sonido tarda en ascender es:

t_s = (4 - 3.41)\ s = \color[RGB]{2,112,20}{\bf 0.59\ s}

La profundidad del pozo es:

K = 330\ \frac{m}{\cancel{s}}\cdot 0.59\ \cancel{s} = \fbox{\color[RGB]{192,0,0}{\bf 195\ m}}