Cuerpo que cae desde un edificio sin rozamiento 0001

, por F_y_Q

Un cuerpo se deja caer libremente desde lo alto de un edificio y tarda 3 segundos en llegar al suelo (considera despreciable la resistencia del aire).

a) ¿Con qué velocidad llega el cuerpo al suelo?

b) ¿Cuál es la altura del edificio?

P.-S.

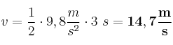
a) Al ser una caída libre, la velocidad inicial del cuerpo es cero y se cumple la ecuación: v = \frac{1}{2}gt^2.
Sustituyendo:

v = \frac{1}{2}\cdot 9,8\frac{m}{s^2}\cdot 3\ s = \bf 14,7\frac{m}{s}


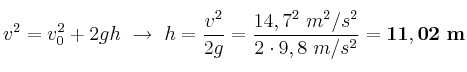
b) La altura del edificio se puede determinar a partir de la ecuación que relaciona la variación de la velocidad con la altura, teniendo en cuenta que la velocidad inicial es cero:

v^2 = v_0^2 + 2gh\ \to\ h= \frac{v^2}{2g} = \frac{14,7^2\ m^2/s^2}{2\cdot 9,8\ m/s^2} = \bf 11,02\ m