Coste de tener una bombilla encendida durante un mes (5937)

, por F_y_Q

Sabiendo que la energía eléctrica cuesta 3 pesos por cada kWh, ¿cuánto cuesta mantener encendida una bombilla de 100 W durante todo el día un mes completo de 30 días?

P.-S.

La energía que consume la bombilla la obtienes haciendo el producto de la potencia por el tiempo durante el que funciona:

\color[RGB]{2,112,20}{\bf E = P\cdot t}

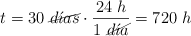
Expresas la potencia en kW y el tiempo en horas:

t = 30\ \cancel{d\acute{\imath}as}\cdot \frac{24\ h}{1\ \cancel{d\acute{\imath}a}} = 720\ h

E = 0.1\ kW\cdot 720\ h = \color[RGB]{0,112,192}{\bf 72\ kWh}

El precio a pagar será:

72\ \cancel{kWh}\cdot \frac{3\ pesos}{1\ \cancel{kWh}} = \fbox{\color[RGB]{192,0,0}{\bf 216\ pesos}}