Corriente en una rama paralela de un circuito (6817)

, por F_y_Q

Si en el amperímetro A _2 de la figura se lee 60 mA, ¿cuál será la lectura del amperímetro A _1?

P.-S.

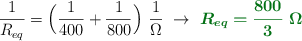
La lectura del amperímetro A _2 hace referencia a la resistencia equivalente del sistema:

\frac{1}{R_{eq}} = \Big(\frac{1}{400} + \frac{1}{800}\Big)\ \frac{1}{\Omega}\ \to\ \color[RGB]{2,112,20}{\bm{R_{eq} = \frac{800}{3}\ \Omega}}

A partir de este dato puedes calcular la diferencia de potencial del generador del circuito usando la ley de Ohm:

I_T = \frac{\Delta V_T}{R_{eq}}\ \to\ \Delta V_T = I_T\cdot R_{eq} = 6\cdot 10^{-2}\ A\cdot \frac{800}{3}\ \Omega = \color[RGB]{0,112,192}{\bf 16\ V}

En la asociación en paralelo la diferencia de potencial es igual en ambas ramas, por lo que puedes calcular lo que marca el amperímetro A _1 con facilidad:

I_1 = \frac{\Delta V_T}{R_1} = \frac{16\ V}{400\ \Omega} = \fbox{\color[RGB]{192,0,0}{\bf 0.04\ A = 40\ mA}}