Constante elástica del un resorte y elongación al colgar una masa de él (4048)

, por F_y_Q

Un resorte tiene una longitud de 10 cm cuando está suspendido de una pinza. Cuando se le cuelga una masa de 125 g su longitud aumenta hasta los 14.5 cm. ¿Cuál es la constante elástica del resorte? ¿Cuál sería la longitud del muelle si le colgásemos otra masa de 75 g?

P.-S.

La ley de Hooke establece que la elongación del resorte ha de ser proporcional a la fuerza que se aplica, que es el peso asociado a la masa que se le ha colgado:

\color[RGB]{2,112,20}{\bm{F  = k\cdot \Delta x}

La k de la ecuación anterior es la constante elástica o recuperadora del resorte, que es lo que debes calcular, y \Delta  x es lo que llamamos elongación, que es la diferencia entre la longitud final del resorte y su longitud inicial. Puedes reescribir la ecuación y despejar:

p = k\cdot (l_f - l_i)\ \to\ \color[RGB]{2,112,20}{\bm{k  = \frac{m\cdot g}{l_f - l_i}}}

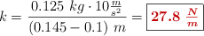
Ahora solo te queda sustituir los valores del enunciado, pero expresados en unidades SI:

k = \frac{0.125\ kg\cdot 10\frac{m}{s^2}}{(0.145 - 0.1)\ m} = \fbox{\color[RGB]{192,0,0}{\bm{27.8\ \frac{N}{m}}}}


La constante que obtienes es propia del resorte y es constante, siempre que el resorte no sea forzado y deje de ser elástico. Puedes ahora determinar la nueva longitud si tienes en cuenta que la masa total será la suma de las masas:

\frac{m\cdot g}{k}  = l_f - l_i\ \to\ \color[RGB]{2,112,20}{\bm{\frac{m\cdot g}{k} + l_i = l_f}}

Sustituyes en la ecuación:

l_f = \frac{0.2\ kg\cdot 10\frac{m}{s^2}}{27.8\ \frac{N}{m}} + 0.1\ m = \fbox{\color[RGB]{192,0,0}{\bf 0.172\ m}}