Tiempo empleado en recorrer una distancia a dos velocidades distintas (7947)

, por F_y_Q

Un móvil recorre la mitad de un trayecto con una velocidad constante de 72 km/h y el resto del trayecto lo hace con una velocidad constante de 30 m/s. Si el recorrido es de 200 kilómetros, ¿qué tiempo empleó en recorrer todo el trayecto?

P.-S.

Para poder hacer el problema es necesario que las velocidades estén expresadas en la misma unidad. Si usas unidades SI, debes convertir la velocidad a m/s:

72\ \frac{\cancel{km}}{\cancel{h}}\cdot \frac{10^3\ m}{1\ \cancel{h}}\cdot \frac{1\ \cancel{h}}{3.6\cdot 10^3\ s} = \color[RGB]{0,112,192}{\bm{20\ \frac{m}{s}}}

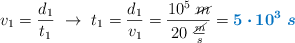
La primera mitad del trayecto, es decir 100 km, son recorridos a esta velocidad:

v_1 = \frac{d_1}{t_1}\ \to\ t_1 = \frac{d_1}{v_1} = \frac{10^5\ \cancel{m}}{20\ \frac{\cancel{m}}{s}} = \color[RGB]{0,112,192}{\bm{5\cdot 10^3\ s}}

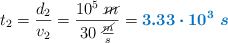
De manera análoga, calculas el tiempo en el segundo tramo:

t_2 = \frac{d_2}{v_2} = \frac{10^5\ \cancel{m}}{30\ \frac{\cancel{m}}{s}} = \color[RGB]{0,112,192}{\bm{3.33\cdot 10^3\ s}}

El tiempo total es la suma de ambos tiempos:

t = t_1 + t_2 = (5\cdot 10^3 + 3.33\cdot 10^3)\ s = \fbox{\color[RGB]{192,0,0}{\bm{8.33\cdot 10^3\ s}}}


Este tiempo equivale a 2 horas, 18 minutos y 50 segundos.