Conservación de la energía mecánica en el agua que cae de una cascada (2367)

, por F_y_Q

Cada segundo, 3\ 400\ m^3 de agua caen por una cascada de 500 m de ancho en el borde, que presenta una profundidad de 1.8 m en ese punto. ¿Cuál es la velocidad del agua al finalizar la caída?

P.-S.

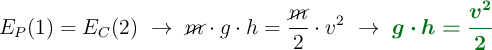
Suponiendo la energía se conserva, la energía que tiene el agua en el borde de la cascada sería energía potencial, dado que su velocidad cambia de dirección y es nula en la componente vertical. Al llegar al nuevo punto, esa energía potencial se habrá transformado en energía cinética, ganando velocidad en la componente vertical. Si prescindes de signos en la «altura» del agua.

E_P(1) = E_C(2)\ \to\ \cancel{m}\cdot g\cdot h = \frac{\cancel{m}}{2}\cdot v^2\ \to\ \color[RGB]{2,112,20}{\bm{g\cdot h = \frac{v^2}{2}}}

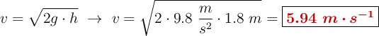
La masa de agua que cae no es relevante y puedes despejar el valor de la velocidad:

v = \sqrt{2g\cdot h}\ \to\ v = \sqrt{2\cdot 9.8\ \frac{m}{s^2}\cdot 1.8\ m} = \fbox{\color[RGB]{192,0,0}{\bm{5.94\ m\cdot s^{-1}}}}