Conservación de la energía mecánica aplicada al salto de un canguro (2789)

, por F_y_Q

Un canguro salta hasta una altura de 2.8 m. ¿Cuánto tiempo pasa en el aire hasta que llega al suelo?

P.-S.

Suponiendo despreciable la energía degradada en el salto, la energía potencial del canguro ha de ser igual a la energía cinética en el momento del salto:

\cancel{m}\cdot g\cdot h = \frac{\cancel{m}}{2}\cdot v^2\ \to\ \color[RGB]{2,112,20}{\bm{v = \sqrt{2gh}}}

Puedes calcular el tiempo que el canguro tarda en subir esa altura. El tiempo que estará en el aire será el doble del tiempo calculado, ya que tardará lo mismo en caer que en subir:

v = v_0 - gt\ \to\ \color[RGB]{2,112,20}{\bm{t_s = \frac{v_0}{g}}}

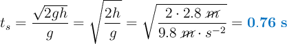
Sustituyes la velocidad inicial en esta expresión y calculas:

t_s = \frac{\sqrt{2gh}}{g} = \sqrt{\frac{2h}{g}} = \sqrt{\frac{2\cdot 2.8\ \cancel{m}}{9.8\ \cancel{m}\cdot s^{-2}}} = \color[RGB]{0,112,192}{\bf 0.76\ s}

Por lo tanto, el tiempo que estará en el aire será:

t = 2\cdot t_s = 2\cdot 0.76\ s = \fbox{\color[RGB]{192,0,0}{\bf 1.52 s}}