Conservación de la energía en un sistema con tramos sin y con rozamiento (6096)

, por F_y_Q

Un cuerpo de 1.5 kg se encuentra incicialmente comprimiendo 0.3 m un resorte de constante elástica de 800 N/m. Al liberar el resorte se desliza, sin rozamiento, por un riel y alcanza un tramo circular:

a) Sabiendo que la velocidad del cuerpo en el punto más alto del círculo es de 2.0 m/s, calcula el radio del tramo circular.

b) Al salir del tramo circular llega a un tramo rugoso de 3 m con coefciente de rozamiento de 0.25. ¿Cuál es la velocidad del cuerpo al atravesar ese tramo?

P.-S.

La clave está en aplicar de manera correcta el principio de conservación de la energía.

a) Como en este tramo no hay rozamiento, la energía potencial elástica del cuerpo al inicio ha de ser igual a la energía mecánica del cuerpo cuando está en en el punto más alto:

E_{P_e} = E_M = E_C + E_{P_g}\  \to\ \frac{1}{2}kx^2 = \frac{1}{2}mv^2 + mgh

Despejas el valor de la altura del tramo circular y calculas:

h = \frac{kx^2 - mv^2}{2mg} = \frac{800\frac{N}{m}\cdot 0.3^2\ m^2 - 1.5\ kg\cdot 4\frac{m^2}{s^2}}{2\cdot 1.5\ kg\cdot 9.8\frac{m}{s^2}} = \color[RGB]{0,112,192}{\bf 2.24\ m}

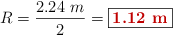
Debes tener cuidado con el resultado obtenido porque se corresponde con el diámetro del tramo circular y tienes que calcular el radio, que es la mitad:

R = \frac{2.24\ m}{2} = \fbox{\color[RGB]{192,0,0}{\bf 1.12\ m}}


b) Ahora sí hay rozamiento y debes tener en cuenta la energía que se degrada como consecuencia del trabajo de rozamiento:

E_{P_e} = E_M = E_C + W_R\  \to\ \frac{1}{2}kx^2 = \frac{1}{2}mv_f^2 + \mu mgd

Despejas el valor de velocidad al final del tramo:

v_f =  \sqrt{\frac{kx^2}{m} - 2\mu gd}

Sustituyes los valores y calculas:

v_f = \sqrt{\frac{800\frac{N}{m}\cdot 0.3\ m^2}{1.5\ kg} - 2\cdot 0.25\cdot 9.8\frac{m}{s^2}\cdot 3\ m} = \fbox{\color[RGB]{192,0,0}{\bm{12.05\ \frac{m}{s}}}}