Conservación de la energía en un plano inclinado (7143)

, por F_y_Q

Se lanza un cuerpo con una velocidad de 1.5\ \textstyle{m\over s} desde la base de un plano inclinado en un ángulo \alpha = 3^o . Se observa que el cuerpo alcanza una altura h = 6 cm sobre el nivel de la base del plano y luego, desde esa altura, vuelve a caer hasta la base del plano.

a) Razona si es un sistema conservativo o no.

b) ¿Cuánto es el coeficiente de rozamiento del plano?

c) ¿Con qué velocidad vuelve el cuerpo a la base del plano?

P.-S.

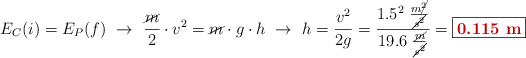
a) Es un sistema no conservativo. Para llegar a esta conclusión solo tienes que aplicar la conservación de la energía suponiendo que sí lo es:

E_C(i) = E_P(f)\ \to\ \frac{\cancel{m}}{2}\cdot v^2 = \cancel{m}\cdot g\cdot h\ \to\ h = \frac{v^2}{2g} = \frac{1.5^2\ \frac{m\cancel{^2}}{\cancel{s^2}}}{19.6\ \frac{\cancel{m}}{\cancel{s^2}}} = \fbox{\color[RGB]{192,0,0}{\bf 0.115\ m}}


Como la altura que debería alcanzar el mayor que la que alcanza, el cuerpo degrada parte de la energía inicial debido al rozamiento.

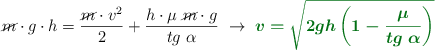
b) Si tienes en cuenta el trabajo de la fuerza de rozamiento el balance de energía del sistema es:

E_C(i) = E_P(f) + W_R\ \to\ \frac{\cancel{m}\cdot v^2}{2} = \cancel{m}\cdot g\cdot h + d\cdot F_R\ \to\ \color[RGB]{2,112,20}{\bm{\frac{v^2}{2} = g\cdot h + \frac{h}{sen\ \alpha}\cdot \mu\cdot g\cdot cos\ \alpha}}

Despejas el valor del coeficiente de rozamiento:

\frac{v^2}{2} = g\cdot h\left(1 + \mu\cdot \frac{cos\ \alpha}{sen\ \alpha}\right)\ \to\ \color[RGB]{2,112,20}{\bm{\mu = \left(\frac{v^2}{2gh} - 1\right)\cdot tg\ \alpha}}

Sustituyes y calculas:

\mu = \left(\frac{1.5\ \frac{\cancel{m^2}}{\cancel{s^2}}}{2\cdot 9.8\ \frac{\cancel{m}}{\cancel{s^2}}\cdot 0.06\ \cancel{m}} - 1\right)\cdot tg\ 3 = \fbox{\color[RGB]{192,0,0}{\bm{4.79\cdot 10^{-2}}}}


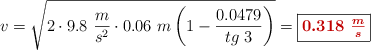
c) Ahora debes tomar como referencia la energía potencial cuando está a la altura de 0.06 m y considerar el trabajo de rozamiento al descender:

\cancel{m}\cdot g\cdot h = \frac{\cancel{m}\cdot v^2}{2} + \frac{h\cdot \mu\ \cancel{m}\cdot g}{tg\ \alpha}\ \to\ \color[RGB]{2,112,20}{\bm{v = \sqrt{2gh\left(1 - \frac{\mu}{tg\ \alpha}\right)}}}

Sustituyes los datos y calculas la velocidad:

v = \sqrt{2\cdot 9.8\ \frac{m}{s^2}\cdot 0.06\ m\left(1 - \frac{0.0479}{tg\ 3}\right)} = \fbox{\color[RGB]{192,0,0}{\bm{0.318\ \frac{m}{s}}}}