Conservación de la energía cuando una esfera choca contra un resorte (6466)

, por F_y_Q

En una práctica, una esfera de masa 1.98 kg que se desliza por una pista horizontal lisa (sin fricción) con una velocidad de 1.26 m/s y choca con un resorte de masa despreciable y constante k = 528 N/m en equilibrio y con uno de sus extremos fijo. A partir de la información anterior, calcula:

a) La distancia que se comprime el resorte.

b) La altura desde la que debería caer la esfera sobre el resorte, si este se coloca verticalmente, para producir la misma compresión del apartado anterior, asumiendo que en ese punto la esfera se detiene.

P.-S.

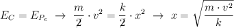
a) Al no haber fricción, la energía cinética de la esfera se transformará en energía potencial elástica del resorte:

E_C = E_{P_e}\ \to\ \frac{m}{\cancel{2}}\cdot v^2 = \frac{k}{\cancel{2}}\cdot x^2\ \to\ x = \sqrt{\frac{m\cdot v^2}{k}}

Sustituyes los datos dados en el enunciado:

x = \sqrt{\frac{1.98\ kg\cdot 1.26^2\ \frac{m^2}{s^2}}{528\ \frac{N}{m}}} = \fbox{\color[RGB]{192,0,0}{\bm{7.7\cdot 10^{-2}\ m}}}


El resorte se comprime 7.7 cm.

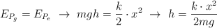
b) En este caso serán iguales las energías potencial gravitatoria y la elástica. Operas de manera análoga al apartado anterior:

E_{P_g} = E_{P_e}\ \to\ mgh = \frac{k}{2}\cdot x^2\ \to\ h = \frac{k\cdot x^2}{2mg}

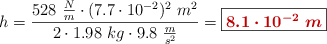
Sustituyes los datos del enunciado y considerando que la deformación de resorte tiene que ser la calculada en el apartado a):

h = \frac{528\ \frac{N}{m}\cdot (7.7\cdot 10^{-2})^2\ m^2}{2\cdot 1.98\ kg\cdot 9.8\ \frac{m}{s^2}} = \fbox{\color[RGB]{192,0,0}{\bm{8.1\cdot 10^{-2}\ m}}}


La altura desde la que tendría que caer serían 8.1 cm.