Conservación de energía: choque inelástico bala-bloque (3789)

, por F_y_Q

Una bala de 0.01 kg que se mueve horizontalmente golpea un bloque de madera de masa 1.5 kg suspendida de un hilo de 2 m de longitud. La bala se incrusta en la madera y éste sube una altura de 0.40 m. ¿Cuál era la velocidad de la bala en el instante anterior a golpear el bloque de madera?

P.-S.

La forma de hacerlo es aplicar la ley de la conservación de la energía mecánica. Si supones que la energía se conserva, la energía mecánica antes del impacto ha de ser igual a la energía mecánica después del impacto.

Tomas como referencia la línea que une la bala y el bloque, por lo que las energías potenciales de ambos cuerpos son cero antes del impacto. También consideras que el conjunto bala-bloque está en reposo cuando alcanza la altura de 0.40 m que indica el enunciado, por ser la altura máxima:

E_M(1) = E_M(2)\ \to\ \color[RGB]{2,112,20}{\bm{E_C(1)  = E_P(2)}}

Si llamas «b» a la bala y «bl» al bloque, puedes reescribir la ecuación:

\color[RGB]{2,112,20}{\bm{\frac{m_b}{2}v_b^2 + \frac{m_{bl}}{2}v_{bl}^2  = (m_b+m_{bl})gh}}


Como el bloque está en reposo antes del impacto, su energía cinética es nula, puedes reescribir la ecuación y despejar el valor de la velocidad de la bala:

\frac{1}{2}m_bv_b^2 = (m_b+m_{bl})gh\ \to\ \color[RGB]{2,112,20}{\bm{v_b  = \sqrt{\frac{2\cdot (m_b+m_{bl})\cdot g\cdot h}{m_b}}}}

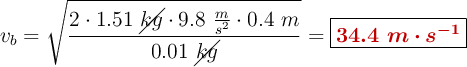
Sustituyes:

v_b = \sqrt{\frac{2\cdot 1.51\ \cancel{kg}\cdot 9.8\ \frac{m}{s^2}\cdot 0.4\ m}{0.01\ \cancel{kg}}} = \fbox{\color[RGB]{192,0,0}{\bm{34.4\ m\cdot s^{-1}}}}}