Compresión de un resorte para que la altura de un objeto sea el doble (6050)

, por F_y_Q

Un resorte se comprime \Delta  x para lanzar verticalmente hacia arriba un objeto que alcanza una altura h. Para duplicar la altura alcanzada la compresión del resorte debe ser de:

a) \sqrt 2\cdot \Delta  x.

b) 2\cdot \sqrt{\Delta  x}.

c) 2\cdot \Delta  x.

d) Ninguna es correcta.

P.-S.

Para hacer este ejercicio vamos a comparar las expresiones de la conservación de la energía en cada uno de los casos. Si no hay degradación de energía, la energía potencial elástica que almacena el resorte tiene que ser igual a la energía potencial gravitatoria que alcanza el objeto:

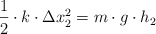
E_{P_e} = E_{P_g}\ \to\ \frac{1}{2}\cdot k\cdot \Delta x_1^2  = m\cdot g\cdot h_1

Escribimos ahora esta misma condición para el segundo caso:

\frac{1}{2}\cdot k\cdot \Delta x_2^2  = m\cdot g\cdot h_2

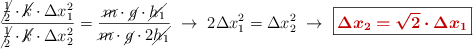
Si dividimos la ecuación del primer lanzamiento entre la ecuación del segundo lanzamiento, e imponemos la condición de que h_2  = 2h_1, obtenemos:

\frac{\cancel{\frac{1}{2}}\cdot \cancel{k}\cdot \Delta x_1^2}{\cancel{\frac{1}{2}}\cdot \cancel{k}\cdot \Delta x_2^2} = \frac{\cancel{m}\cdot \cancel{g}\cdot \cancel{h_1}}{\cancel{m}\cdot \cancel{g}\cdot 2\cancel{h_1}}\ \to\ 2\Delta x_1^2 = \Delta x_2^2\ \to\ \fbox{\color[RGB]{192,0,0}{\bm{\Delta x_2 = \sqrt 2\cdot \Delta x_1}}}


La respuesta correcta es la opción a).