Composición de movimientos: vehículos que se mueven con MRU y MRUA (1147)

, por F_y_Q

Cuando la luz del semáforo cambia a verde, un motociclista inicia su marcha con aceleración constante de 2\ m\cdot s^{-2}. Justo en ese momento, un camión que marcha con velocidad constante de 15\ m\cdot s^{-1} pasa al motociclista.

a) ¿A qué distancia del semáforo el motociclista alcanza al camión?

b) ¿Qué velocidad, expresada en km\cdot h^{-1}, tendrá el motociclista en ese instante?

P.-S.

En este problema debes tener en cuenta las ecuaciones de cada tipo de movimiento. El camión se mueve con movimiento uniforme, mientras que la motocicleta lo hace con movimiento acelerado.

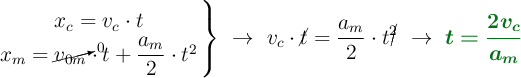
a) Si escribes las ecuaciones de la posición de cada vehículo y las igualas, puedes calcular el tiempo necesario para que la moto alcance al camión:

\left x_c = v_c\cdot t \atop x_m = \cancelto{0}{v_{0m}}\cdot t + \dfrac{a_m}{2}\cdot t^2\right \}\ \to\ v_c\cdot \cancel{t} = \frac{a_m}{2}\cdot t\cancel{^2}\ \to\ \color[RGB]{2,112,20}{\bm{t = \frac{2v_c}{a_m}}}

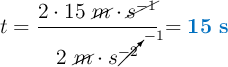
Sustituyes los datos y calculas el tiempo:

t = \frac{2\cdot 15\ \cancel{m}\cdot \cancel{s^{-1}}}{2\ \cancel{m}\cdot s\cancelto{-1}{^{-2}}} = \color[RGB]{0,112,192}{\bf 15\ s}

Si sustituyes el dato del tiempo en la ecuación del movimiento del camión, por ejemplo, puedes obtener la posición de ambos vehículos:

x_c = 15\ \frac{m}{\cancel{s}}\cdot 15\ \cancel{s} = \fbox{\color[RGB]{192,0,0}{\bf 225 m}}


b) A partir de la ecuación de la velocidad de la motocicleta, y sustituyendo el valor del tiempo calculado:

v_m = \cancelto{0}{v_{0m}} + a\cdot t\ \to\ v_m = 2\ \frac{m}{s\cancel{^2}}\cdot 15\ \cancel{s}\ \to\ \color[RGB]{0,112,192}{\bm{v_m = 30\ m\cdot s^{-1}}}

Por último, haces el cambio de unidad para expresar el resultado como indica el enunciado:

30\ \frac{\cancel{m}}{\cancel{s}}\cdot \frac{1\ km}{\cancel{10^3}\ \cancel{m}}\cdot \frac{3.6\cdot \cancel{10^3}\ \cancel{s}}{1\ h} = \fbox{\color[RGB]{192,0,0}{\bm{108\ km\cdot h^{-1}}}}