Composición de movimientos rectilíneos uniformes (2597)

, por F_y_Q

Un barco efectúa el servicio de pasajeros entre dos ciudades A y B, situadas en la misma ribera de un río y separadas por una distancia de 75 km. Si en ir de A a B tarda 3 horas y en volver de B a A tarda 5 horas, deduce la velocidad del barco v_B y la de la corriente v_C, suponiendo que ambas permanecen constantes.

a) v_B = 15 km/h ; v_C = 3 km/h

b) v_B = 20 km/h ; v_C = 3 km/h

c) v_B = 20 km/h ; v_C = 5 km/h

d) v_B = 75 km/h ; v_C = 5 km/h

P.-S.

La velocidad cuando el barco viaja de A a B sería el cociente entre la distancia y el tiempo que tarda:

v_{AB} = \frac{75\ km}{3\ h} = \color[RGB]{0,112,192}{\bm{25\ \frac{km}{h}}}

En el caso de viajar de B a A, la velocidad es:

v_{BA} = \frac{75\ km}{5\ h} = \color[RGB]{0,112,192}{\bm{15\ \frac{km}{h}}}

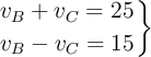
Ahora haces un sistema de ecuaciones. Parece claro que, cuando la velocidad es mayor, la velocidad del barco y la de la corriente son de la misma dirección y sentido:

\left v_B + v_C = 25 \atop v_B - v_C = 15 \right \}

Si sumas ambas ecuaciones obtienes:

2v_B = 40\ \to\ \fbox{\color[RGB]{192,0,0}{\bm{v_B = 20\ \frac{km}{h}}}}


Por lo tanto, puedes concluir que la velocidad del barco es 20 km/h y la de la corriente es 5 km/h. La opción correcta es c)