Composición de movimientos: caída libre + MRU (2858)

, por F_y_Q

Un turista arroja una moneda al pozo de los deseos. El sonido de la moneda, al chocar contra el agua, tarda 0,5 segundos en ser percibido por sus oídos. Calcula:

a) La profundidad del pozo.

b) El tiempo total que transcurre desde que el turista suelta la moneda hasta que se escucha el choque.

Velocidad del sonido: 340 m/s.

P.-S.

a) La velocidad del sonido es de 340 m/s. Si pasan 0.5 s desde que la moneda choca contra el agua hasta que es escuchado por el turista, la profundidad del pozo será:

d = v\cdot t\ \to\ d = 340\ \frac{m}{\cancel{s}}\cdot 0.5\ \cancel{s} = \fbox{\color[RGB]{192,0,0}{\bf 170\ m}}


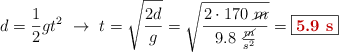
b) La moneda cae en caída libre, por lo que el tiempo que tarda en caer será:

d = \frac{1}{2}gt^2\ \to\ t = \sqrt{\frac{2d}{g}} = \sqrt{\frac{2\cdot 170\ \cancel{m}}{9.8\ \frac{\cancel{m}}{s^2}}} = \fbox{\color[RGB]{192,0,0}{\bf 5.9\ s}}


El tiempo total será el que tarda la moneda en caer más el que tarda el sonido en llegar:

t_T = (5.9 + 0.5) = \fbox{\color[RGB]{192,0,0}{\bf 6.4\ s}}