Composición de movimientos: MRU y MRUA (2211)

, por F_y_Q

Una escalera de mano de 2.5 m está apoyada en una pared vertical y en el suelo. Si el pie de la escalera se mueve horizontalmente con velocidad constante de 12 cm/s, calcula la velocidad y la aceleración del otro extremo de la escalera en el instante en el que el pie de la misma dista 1.5 m de la pared.

P.-S.

La velocidad horizontal es constante e igual a 0.12 m/s (haciendo la conversión a m/s). Lo que se desplaza en vertical el extremo superior, cuando el inferior se ha desplazado 1.5 m en horizontal, es 2 m. Esto se puede calcular aplicando el teorema de Pitágoras a un triángulo con una base de 1.5 m y una hipotenusa de 2.5 m:

1.5^2 + x^2 = 2.5^2\ \to\ \color[RGB]{0,112,192}{\bf x = 2\ m}

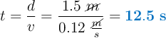
El tiempo durante el que se ha estado moviendo la escalera es:

t = \frac{d}{v} = \frac{1.5\ \cancel{m}}{0.12\ \frac{\cancel{m}}{s}} = \color[RGB]{0,112,192}{\bf 12.5\ s}

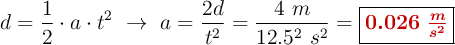
La aceleración que experimenta el extremo superior será:

d = \frac{1}{2}\cdot a\cdot t^2\ \to\ a = \frac{2d}{t^2} = \frac{4\ m}{12.5^2\ s^2} = \fbox{\color[RGB]{192,0,0}{\bm{0.026\ \frac{m}{s^2}}}}


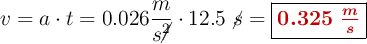
La velocidad que llevará en ese instante será:

v = a\cdot t = 0.026\frac{m}{s\cancel{^2}}\cdot 12.5\ \cancel{s} = \fbox{\color[RGB]{192,0,0}{\bm{0.325\ \frac{m}{s}}}}