Comparación de velocidades y aceleraciones entre un ciclista y el AVE

, por F_y_Q

El tren de alta velocidad (AVE) alcanza una velocidad máxima de 270 km/h. Para llegar a esa velocidad, partiendo del reposo, necesita 3 minutos y 30 segundos. Un ciclista puede alcanzar una velocidad máxima de 54 km/h. Para llegar a esa velocidad, partiendo del reposo, necesita 30 segundos. Suponiendo que las aceleraciones sean constantes en ambos casos:

a) ¿Cuál de ellos alcanza mayor velocidad?

b) ¿Cuál de ellos ha tenido mayor aceleración?

P.-S.

a) La respuesta a la primera cuestión es inmediata porque los valores dados están en las mismas unidades. El AVE alcanza mayor velocidad que el ciclista.

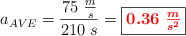
b) Para calcular las aceleraciones es conveniente usar unidades SI para homogeneizarlas:

270\ \frac{\cancel{km}}{\cancel{h}}\cdot \frac{10^3\ m}{1\ \cancel{km}}\cdot \frac{1\ \cancel{h}}{3.6\cdot 10^3\ s} = \color{blue}{75\ \frac{m}{s}}
180\ \frac{\cancel{km}}{\cancel{h}}\cdot \frac{10^3\ m}{1\ \cancel{km}}\cdot \frac{1\ \cancel{h}}{3.6\cdot 10^3\ s} = \color{blue}{15\ \frac{m}{s}}

En ambos casos parten del reposo, por lo que la aceleración será el cociente de la velocidad final entre el tiempo durante el que aceleran, expresado en segundos:

a_{AVE} = \frac{75\ \frac{m}{s}}{210\ s} = \fbox{\color{red}{\bm{0.36\ \frac{m}{s^2}}}}


a_c = \frac{15\ \frac{m}{s}}{30\ s} = \fbox{\color{red}{\bm{0.5\ \frac{m}{s^2}}}}


Por lo tanto, es mayor la aceleración del ciclista que la del AVE.