Comparación de movimientos acelerados verticalmente 0001

, por F_y_Q

Un globo aerostático asciende verticalmente con una velocidad constante de 40 m/s. Desde el globo, y simultáneamente, se suelta una piedra y se lanza otra verticalmente hacia abajo con una velocidad de 50 m/s. Halla la distancia vertical que separa a dichas piedras después de 3 s.
Dato: g = 10 m/s^2

P.-S.

En este caso debemos calcular la posición de cada piedra pasados los 3 s que nos indica el enunciado. Si consideramos que la aceleración de la gravedad es positiva, la velocidad con la que sube el globo debe ser negativa porque tiene sentido contrario a la aceleración de la gravedad.
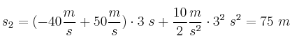
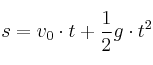
En ambos casos usaremos la expresión para el MRUA: s = v_0\cdot t + \frac{1}{2}g\cdot t^2

s_1 = -40\frac{m}{s}\cdot 3\ s +\frac{10}{2}\frac{m}{s^2}\cdot 3^2\ s^2 = -75\ m


s_2 = (-40\frac{m}{s} + 50\frac{m}{s})\cdot 3\ s +\frac{10}{2}\frac{m}{s^2}\cdot 3^2\ s^2 = 75\ m


Por lo tanto, la distancia que separará a ambas piedras será de 150 m.