Comparación de movimientos MRUA y MRU 0001

, por F_y_Q

Dos cohetes parten desde el reposo de una plataforma, el cohete 1 con aceleración de 18 m\cdot s^{-2} y el cohete 2 con aceleración de 20 m\cdot s^{-2}. Si ambos aceleran durante 22 s, luego apagan sus motores y el cohete 2 parte 13 s después, calcula cuándo y dónde los cohetes se cruzan en sus vuelos.

P.-S.

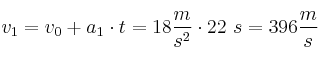
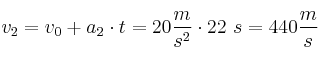
Hacemos el problema en dos partes; la primera referida a un movimiento con aceleración y la segunda a un movimiento uniforme. En primer lugar calculamos las velocidades de cada cohete después del periodo de aceleración:

v_1 = v_0 + a_1\cdot{t} = 18\frac{m}{s^2}\cdot22\ s = 396\frac{m}{s}

v_2 =v_0 + a_2\cdot{t} = 20\frac{m}{s^2}\cdot22\ s = 440\frac{m}{s}


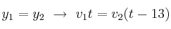
Cuando ambos cohetes se encuentren, sus alturas serán iguales y se cumple que: y_1 = y_2\ \to\ v_1t = v_2(t-13)
Ambos cohetes llevan un movimiento uniforme, porque han apagado los motores, pero debemos tener en cuenta que el segundo cohete llevará un desfase de 13 s con respecto a primero. Plantemos y resolvemos la ecuación:

396t = 440t - 5\ 720\ \to\ 5\ 720 = 44t\ \to\ t = \frac{5\ 720}{44} = \bf 130\ s


Estarán en la mismo posición 130 s después del lanzamiento. Esa posición será:

y_1 = 396\frac{m}{s}\cdot 130\ s = \bf 51\ 480\ m

Palabras clave