Colisión elástica de cuerpos de masas distintas (5042)

, por F_y_Q

En la figura se muestra el resultado de un choque entre dos objetos de masas distintas.

a) Calcula la velocidad v _2 de la masa mayor después del choque y el ángulo \theta _2.

b) Demuestra que este choque es elástico.

P.-S.

En la colisión se ha de conservar la cantidad de movimiento. Esta condición te dará la relación entre la velocidad v _2 y la velocidad inicial del cuerpo de menor masa v _0. Es importante que tengas en cuenta que la velocidad es vectorial y consideres las componentes de las velocidades:

3mv_0\ \vec i  = \sqrt{5}mv_0\cdot cos\ \theta_1\ \vec i + \sqrt{5}mv_0\cdot sen\ \theta_1\ \vec j + 2mv_2\cdot cos\ \theta_2\ \vec i - 2mv_2\cdot sen\ \theta_2\ \vec j

Sabes que tg\ \theta _1 = 2, lo que quiere decir que, haciendo la función inversa a la tangente, el ángulo es \theta_1 = 63.4^oC

Analizas la ecuación componente a componente.

Horizontal:

3\cdot \cancel{m}\cdot v_0 = \sqrt{5}\cdot \cancel{m}\cdot v_0\cdot cos\ \theta_1 + 2\cdot \cancel{m}\cdot v_2\cdot cos\ \theta_2
3v_0 = v_0 + 2v_2\cdot cos\ \theta_2\ \to\ \color[RGB]{2,112,20}{\bm{v_0 = v_2\cdot cos\ \theta_2}}

Vertical:

0 = \sqrt{5}\cdot \cancel{m}\cdot v_0\cdot\ sen\ 63.4 - 2\cdot \cancel{m}\cdot v_2\cdot sen\ \theta_2\ \to\ \color[RGB]{2,112,20}{\bm{v_0 = v_2\cdot sen\ \theta_2}}

Como puedes ver, la única manera de que v _0 cumpla ambas condiciones es que cos\ \theta_2 = sen\ \theta_2\ \to\ \fbox{\color[RGB]{192,0,0}{\bm{\theta_2 = 45^oC}}}

Ahora puedes escribir el valor de la velocidad v _2 en función de la velocidad inicial:

v_0 = v_2\cdot cos\ 45\ \to\ \fbox{\color[RGB]{192,0,0}{\bm{v_2 = \sqrt{2}v_0}}}


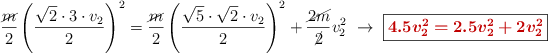
b) Si es un choque elástico se tiene que conservar la energía cinética del sistema:

\frac{\cancel{m}}{2}\left(\frac{\sqrt{2}\cdot 3\cdot v_2}{2}\right)^2 = \frac{\cancel{m}}{2}\left(\frac{\sqrt{5}\cdot \sqrt{2}\cdot v_2}{2}\right)^2 + \frac{\cancel{2m}}{\cancel{2}}v_2^2\ \to\ \fbox{\color[RGB]{192,0,0}{\bm{4.5v_2^2 = 2.5v_2^2 + 2v_2^2}}}

Se cumple la igualdad con lo que el choque es elástico.