Coche que tiene que parar antes de un semáforo

, por F_y_Q

Un automóvil viaja a 20\ km\cdot h^{-1} y tiene 2 s para deternerse al llegar a un semáforo en rojo. Si la máxima desaceleración que le producen sus frenos es de 4\ m\cdot s^{-2}, ¿logrará detenerse antes de llegar al semáforo? Justifica tu respuesta.

P.-S.

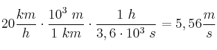
EN primer lugar vamos a convertir la velocidad inicial a m/s para que el ejercicio sea homogéneo:
20\frac{km}{h}\cdot \frac{10^3\ m}{1\ km}\cdot \frac{1\ h}{3,6\cdot 10^3\ s} = 5,56\frac{m}{s}
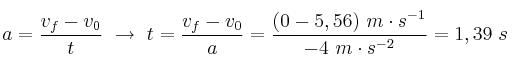
Ahora, a partir de la definición de aceleración, obtendremos el tiempo que tardará en deternerse, teniendo en cuenta que la velocidad final ha de ser cero:
a = \frac{v_f - v_0}{t}\ \to\ t = \frac{v_f - v_0}{a} = \frac{(0 - 5,56)\ m\cdot s^{-1}}{-4\ m\cdot s^{-2}} = 1,39\ s
Como el tiempo obtenido es MENOR que el tiempo necesario para completar la desaceleración, podemos concluir que el automóvil se detendrá antes de llegar al semáforo.