Choque elástico entre dos pelotas de softball (7324)

, por F_y_Q

Una pelota de softball de 0.220 kg de masa, que se mueve con una rapidez de 8.5 m/s, choca frontal y elásticamente con otra bola que está en reposo. Después de eso, la bola que llega rebota hacia atrás con una rapidez de 3.7 m/s. Calcula:

a) La velocidad de la bola inicialmente en reposo después de la colisión.

b) La masa de la bola inicialmente en reposo.

P.-S.

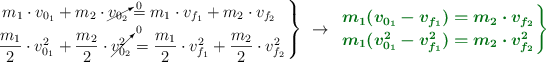
Al ser un choque elástico el que se produce, se deben conservar la cantidad de movimiento y la energía cinética del sistema. Si impones estas dos condiciones al problema, y tienes en cuenta que la velocidad final de la primera bola es negativa porque tiene sentido contrario a la inicial, obtienes las siguientes ecuaciones:

\left m_1\cdot v_{0_1} + m_2\cdot \cancelto{0}{v_{0_2}} = m_1\cdot v_{f_1} + m_2\cdot v_{f_2}\ \atop \dfrac{m_1}{2}\cdot v_{0_1}^2 + \dfrac{m_2}{2}\cdot \cancelto{0}{v_{0_2}^2} = \dfrac{m_1}{2}\cdot v_{f_1}^2 + \dfrac{m_2}{2}\cdot v_{f_2}^2 \right \}\ \to\ \left \color[RGB]{2,112,20}{\bm{m_1(v_{0_1} - v_{f_1}) = m_2\cdot v_{f_2} \atop m_1(v_{0_1}^2 - v_{f_1}^2) = m_2\cdot v_{f_2}^2}} \right \}

De la primera de las ecuaciones puedes despejar el valor de la velocidad final de la segunda bola y escribirla en función de su masa:

v_{f_2} = \frac{m_1}{m_2}(v_{0_1} - v_{f_1})\ \to\ v_{f_2} = \frac{0.220\ kg}{m_2}\cdot (8.5 + 3.7)\ \frac{m}{s} = \color[RGB]{0,112,192}{\bm{\frac{2.684}{m_2}\ \left(\frac{kg\cdot m}{s}\right)}}

b) Sustituyes el valor anterior en la segunda de las ecuaciones y resuelves:

0.220\ \cancel{kg}\ (8.5^2 - 3.7^2)\ \cancel{\frac{m^2}{s^2}} = \cancel{m_2}\cdot \frac{2.684^2}{m_2\cancel{^2}}\ \frac{kg\cancel{^2}\cdot \cancel{m^2}}{\cancel{s^2}}\ \to\ \fbox{\color[RGB]{192,0,0}{\bm{m_2 = 0.559\ kg}}}


a) El cálculo de la velocidad final de la segunda bola es inmediato:

v_{f_2} = \frac{2.684\ \frac{\cancel{kg}\cdot m}{s}}{0.559\ \cancel{kg}} = \fbox{\color[RGB]{192,0,0}{\bm{4.8\ \frac{m}{s}}}}


Puedes descargar el enunciado y la resolución del problema en formato EDICO si lo necesitas.