Choque elástico de dos bloques en un tazón hemiesférico (7098)

, por F_y_Q

Dos bloques se sueltan del reposo en un tazón hemisférico liso de radio R = 5 m, desde las posiciones que se muestran en la figura. Se puede despreciar a fricción entre las masas y la superficie del tazón. Si la colisión es elástica y M_2 = 3M_1 , ¿a qué altura sobre el fondo del tazón alcanzarán los bloques después de chocar la primera vez?

P.-S.

Lo primero que debes hacer es calcular la velocidad con la que el bloque 1 impactará sobre el bloque 2. Para ello haces un balance de energía:

E_{P_1}(A) = E_{C_1}(B)\ \to\ \cancel{M_1}\cdot g\cdot R = \frac{\cancel{M_1}}{2}\cdot v_1^2\ \to\ v_1 = \color[RGB]{2,112,20}{\bm{\sqrt{2gR}}}

La velocidad del impacto es:

v_1 = \sqrt{2\cdot 9.8\ \frac{m}{s^2}\cdot 5\ m} = \color[RGB]{0,112,192}{\bm{9.9\ \frac{m}{s}}}

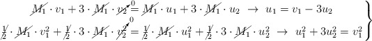
Al ser un choque elástico se deben conservar la cantidad de movimiento y la energía cinética del sistema:

\left \cancel{M_1}\cdot v_1 + 3\cdot \cancel{M_1}\cdot \cancelto{0}{v_2} = \cancel{M_1}\cdot u_1 + 3\cdot \cancel{M_1}\cdot u_2\ \to\ u_1 = v_1 - 3u_2 \atop \cancel{\frac{1}{2}}\cdot \cancel{M_1}\cdot v_1^2 + \cancel{\frac{1}{2}}\cdot 3\cdot \cancel{M_1}\cdot \cancelto{0}{v_2^2} = \cancel{\frac{1}{2}}\cdot \cancel{M_1}\cdot u_1^2 + \cancel{\frac{1}{2}}\cdot 3\cdot \cancel{M_1}\cdot u_2^2\ \to\ u_1^2 + 3u_2^2 = v_1^2 \right \}

Sustituyes la primera ecuación en la segunda y obtienes:

(9.9 - 3u_2)^2 + 3u_2^2 = 9.9^2\ \to\ \cancel{98} - 59.4u_2 + 9u_2^2 + 3u_2^2 = \cancel{98}\ \to\ \color[RGB]{2,112,20}{\bm{12u_2^2 - 59.4u_2 = 0}}

Resuelves la ecuación y obtienes el valor de las velocidades después del choque:

u_2 = \frac{59.4}{12} = \color[RGB]{0,112,192}{\bm{4.95\ \frac{m}{s}}}

u_1 = (9.9 - 3\cdot 4.95)\ \frac{m}{s} = \color[RGB]{0,112,192}{\bm{-4.95\ \frac{m}{s}}}

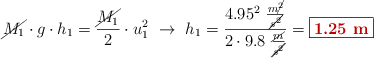
Ambos bloques salen despedidos en sentidos opuestos con la misma velocidad, por lo que ambos ascenderán por el tazón la misma altura porque esta no depende de la masa al no haber rozamiento. Ese valor lo vuelves a calcular aplicando la conservación de la energía. Para el bloque 1 es:

\cancel{M_1}\cdot g\cdot h_1 = \frac{\cancel{M_1}}{2}\cdot u_1^2\ \to\ h_1 = \frac{4.95^2\ \frac{m\cancel{^2}}{\cancel{s^2}}}{2\cdot 9.8\ \frac{\cancel{m}}{\cancel{s^2}}} = \fbox{\color[RGB]{192,0,0}{\bf 1.25\ m}}