Cantidad de producto formado en una reacción química (4340)

, por F_y_Q

Para la siguiente reacción química:

\ce{CaO + H2O -> Ca(OH)2}

Determina la cantidad de producto formado en los siguientes casos:

a) Al reaccionar 20 g de CaO.

b) Al reaccionar 150 g de \ce{H_2O}.

c) Al reaccionar 3 moles de CaO.

d) Al reaccionar 9 moles de \ce{H_2}.

P.-S.

La reacción, teniendo en cuenta que las masas atómicas son Ca = 40, O = 16 y H = 1, se puede describir en función de las masas o de los moles como:

\left \ce{56 \text{g} CaO + 18 \text{g} H2O -> 74 \text{g} Ca(OH)2}\ \atop \ce{1 \text{mol} CaO + 1 \text{mol} H2O -> 1 \text{mol} Ca(OH)2} \right \}

Solo tienes que tener en cuenta estas relaciones en cada uno de los apartados:

a) 20\ \cancel{\ce{g\ CaO}}\cdot \frac{74\ \ce{g\ Ca(OH)2}}{56\ \cancel{\ce{g\ CaO}}} = \fbox{\color[RGB]{192,0,0}{\textbf{26.4 g \ce{Ca(OH)2}}}}

b) 150\ \cancel{\ce{g\ H2O}}\cdot \frac{74\ \ce{g\ Ca(OH)2}}{18\ \cancel{\ce{g\ CaO}}} = \fbox{\color[RGB]{192,0,0}{\textbf{617 g \ce{Ca(OH)2}}}}

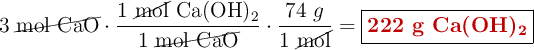
c) 3\ \cancel{\ce{mol\ CaO}}\cdot \frac{1\ \cancel{\text{mol}}\ \ce{Ca(OH)2}}{1\ \cancel{\ce{mol\ CaO}}}\cdot \frac{74\ g}{1\ \cancel{\text{mol}}} = \fbox{\color[RGB]{192,0,0}{\textbf{222 g \ce{Ca(OH)2}}}}

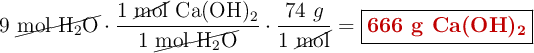
d) 9\ \cancel{\ce{mol\ H2O}}\cdot \frac{1\ \cancel{\text{mol}}\ \ce{Ca(OH)2}}{1\ \cancel{\ce{mol\ H2O}}}\cdot \frac{74\ g}{1\ \cancel{\text{mol}}} = \fbox{\color[RGB]{192,0,0}{\textbf{666 g \ce{Ca(OH)2}}}}