Cámara que cae desde un helicóptero que asciende con velocidad constante (7204)

, por F_y_Q

Desde un helicóptero, que asciende verticalmente con una rapidez de 175 m/s, se cae accidentalmente una cámara fotográfica, desde una altura de 50.0 m. Determina:

a) El tiempo que tardará la cámara en llegar al suelo.

b) La velocidad con que llega al suelo.

P.-S.

En el momento de caer la cámara la velocidad es la de ascenso del helicóptero por lo que debes considerar que la velocidad inicial tiene signo contrario a la aceleración de la gravedad. Es equivalente a un lanzamiento vertical hacia arriba desde los 50 m de altura. Puedes empezar por hacer el segundo apartado y luego harás el primero.

b) Si consideras que hacia arriba es positivo y hacia abajo es negativo, se tiene que cumplir:

v^2 = v_0^2 - 2gh\ \to\ v = \sqrt{175^2\ \frac{m^2}{s^2} - 2\cdot 9.8\ \frac{m}{s^2}\cdot 50\ m} = \fbox{\color[RGB]{192,0,0}{\bm{172\ \frac{m}{s}}}}


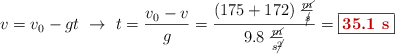
a) Para calcular el tiempo debes tener en cuenta que la velocidad calculada, como tiene sentido hacia abajo, la debes considerar negativa:

v = v_0 - gt\ \to\ t = \frac{v_0 - v}{g} = \frac{(175 + 172)\ \frac{\cancel{m}}{\cancel{s}}}{9.8\ \frac{\cancel{m}}{s\cancel{^2}}} = \fbox{\color[RGB]{192,0,0}{\bf 35.1\ s}}


Puedes descargar el enunciado y la resolución del problema en formato EDICO si lo necesitas.