Calorimetría: temperatura final del agua al sumergir aluminio caliente (1166)

, por F_y_Q

Calentamos un trozo de aluminio de 330 g hasta los 315\ ^oC y después lo sumergimos en un recipiente con 3 L de agua que está a 20\ ^oC. ¿Cuál será la temperatura final del agua?

Datos: c_e(\ce{H2O}) = 4\ 180\ J\cdot kg^{-1}\cdot K^{-1} ; c_e(\ce{Al}) = 896\ J\cdot kg^{-1}\cdot K^{-1} ; d(\ce{H2O}) = 1\ kg\cdot L^{-1}.

P.-S.

Cuando pones en contacto ambas sustancias se produce una transferencia de calor del aluminio, que está a mayor temperatura, al agua, que está a menor temperatura:

-Q_c(\ce{Al}) = Q_a(\ce{H2O})

Si supones que no habrá cambio de estado en el agua, la ecuación que te permite calcular la temperatura de equilibrio es:

\color[RGB]{2,112,20}{\bm{- m_{\ce{Al}}\cdot c_e({\ce{Al}})\cdot [T_f - T_i({\ce{Al}})] = m_{\ce{H2O}}\cdot c_e({\ce{H2O}})\cdot [T_f - T_i({\ce{H2O}})]}}

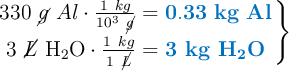
Debes convertir la masa del aluminio en kilogramos, al igual que el volumen de agua, y las temperaturas iniciales para que las unidades sean homogéneas:

\left 330\ \cancel{g}\ Al\cdot \frac{1\ kg}{10^3\ \cancel{g}} = {\color[RGB]{0,112,192}{\bf 0.33\ kg\ Al}} \atop 3\ \cancel{L}\ \ce{H2O}\cdot \frac{1\ kg}{1\ \cancel{L}} = {\color[RGB]{0,112,192}{\textbf{3 kg \ce{H2O}}}} \right \}

\left 315 + 273 = {\color[RGB]{0,112,192}{\bf 588\ K}} \atop 20 + 273 = {\color[RGB]{0,112,192}{\bf 293\ K}} \right \}

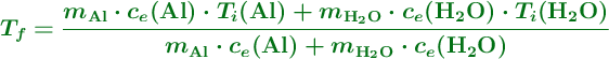
Despejas la temperatura final del agua, que es lo que quieres calcular:

\color[RGB]{2,112,20}{\bm{T_f = \frac{m_{\ce{Al}}\cdot c_e({\ce{Al}})\cdot T_i({\ce{Al}}) + m_{\ce{H2O}}\cdot c_e({\ce{H2O}})\cdot T_i({\ce{H2O}})}{m_{\ce{Al}}\cdot c_e({\ce{Al}}) + m_{\ce{H2O}}\cdot c_e({\ce{H2O}})}}}

Sustituyes los datos en la ecuación y calculas:

T_f = \frac{0.33\ \cancel{kg}\cdot 896\ \frac{\cancel{J}}{\cancel{kg}\cdot \cancel{K}}\cdot 588\ \cancel{K} + 3\ \cancel{kg}\cdot 4\ 180\ \frac{\cancel{J}}{\cancel{kg}\cdot \cancel{K}}\cdot 293\ \cancel{K}}{0.33\ \cancel{kg}\cdot 896\ \frac{\cancel{J}}{\cancel{kg}\cdot K} + 3\ \cancel{kg}\cdot 4\ 180\ \frac{\cancel{J}}{\cancel{kg}\cdot K}} = \fbox{\color[RGB]{192,0,0}{\bm{299.8\ K\equiv 26.8\ ^oC}}}


RESOLUCIÓN DEL PROBLEMA EN VÍDEO.