Calor específico de un sólido y situación final en el calorímetro

, por F_y_Q

En un calorímetro adiabático hay 1 L de agua a 80^oC. Se introduce un sólido de 1,2 kg que esta a -50^oC y que se funde a una temperatura superior a los 100^oC. Cuando el agua alcanza los 70^oC el sólido se encuentra a -45^oC:

a) ¿Cuál es el calor específico del sólido?

b) ¿Cuál es la temperatura de equilibrio y en qué estado se encuentra cada sustancia?

Datos: c_e(H_2O) = 4,18\ \textstyle{J\over g\cdot ^oC} ; l_f(H_2O) = 334,4\ \textstyle{J\over g} ; \rho_{H_2O} = 10^3\textstyle{g\over L}

P.-S.

El calor que cede el agua, que está a mayor temperatura, ha de ser igual al calor que absorbe el sólido:
-m_a\cdot c_e(a)\cdot \Delta T_a = m_s\cdot c_e(s)\cdot \Delta_s
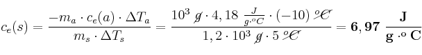
a) Para calcular el calor específico del sólido vamos a tomar las variaciones de temperatura que indica el enunciado para el agua y para el sólido. En caso del agua esa variación es negativa porque se enfría, mientras que para el sólido es positiva porque se calienta:

c_e(s) = \frac{-m_a\cdot c_e(a)\cdot \Delta T_a}{m_s\cdot \Delta T_s} = \frac{10^3\ \cancel{g}\cdot 4,18\ \frac{J}{g\cdot ^oC}\cdot (-10)\ \cancel{^oC}}{1,2\cdot 10^3\ \cancel{g}\cdot 5\ \cancel{^oC}} = \bf 6,97\ \frac{J}{g\cdot ^oC}


b) Si suponemos que no hay cambio de estado alguno, podemos calcular la temperatura de equilibrio (T_f) con la primera ecuación, ahora que conocemos el valor del calor específico del sólido:
-10^3\ \cancel{g}\cdot 4,18\ \frac{J}{\cancel{g}\cdot ^oC}\cdot (T_f - 80)\ ^oC = 1,2\cdot 10^3\ \cancel{g}\cdot 6,97\ \frac{J}{\cancel{g}\cdot ^oC}\cdot (T_f + 50)\ ^oC
-4,18\cdot 10^3T_f + 3,34\cdot 10^5 = 8,36\cdot 10^3T_f + 4,18\cdot 10^5\ \to\ T_f = -6,72\ ^oC
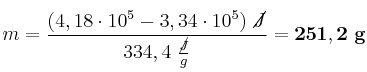
Esto quiere decir que el agua sí que va a sufrir cambio de estado, por lo que debemos rehacer este apartado. El agua se irá enfriando hasta los 0^oC y luego se empezará a congelar, siendo su temperatura constante mientras dure el cambio de estado. Vamos a tomar como valor de equilibrio T_f = 0\ ^oC y calculamos la masa de agua que se congelará:
-m_a\cdot c_e(a)\cdot \Delta T_a + m_a\cdot l_f(a) = m_s\cdot c_e(s)\cdot \Delta_s
- 10^3\ \cancel{g}\cdot 4,18\ \frac{J}{\cancel{g}\cdot \cancel{^oC}}\cdot (0 - 80)\ \cancel{^oC} + m\cdot 334,4\ \frac{J}{g} = 1,2\cdot 10^3\ \cancel{g}\cdot 6,97\ \frac{J}{\cancel{g}\cdot \cancel{^oC}}\cdot (0 + 50)\ \cancel{^oC}

m = \frac{(4,18\cdot 10^5 - 3,34\cdot 10^5)\ \cancel{J}}{334,4\ \frac{\cancel{J}}{g}} = \bf 251,2\ g

Debemos concluir que la temperatura de equilibrio será \bf 0\ ^oC y que parte del agua habrá empezado a pasar a estado sólido, por lo tanto el sólido será sólido y el agua estará líquida en su mayor parte, aunque algo más de un cuarto de la masa habrá pasado a estado sólido.