Cálculo de velocidad media y cambios de unidades 0001

, por F_y_Q

Un avión se desplaza con una velocidad constante de 650 km/h.

a) ¿En cuánto tiempo recorrerá una distancia de 5000 millas?

b) Si al aterrizar para detenerse recorre una pista de 4 km en 1,5 minutos. ¿Cuál es la velocidad promedio de frenado?

P.-S.

a) Debemos expresar la distancia en las mismas unidades que la velocidad. Convertimos las millas en kilómetros:

5\ 000\ mi\cdot \frac{1,61\ km}{1\ mi} = 8\ 050\ km

Ahora solo tenemos que despejar de la ecuación de la velocidad:

v = \frac{d}{t}\ \to\ t = \frac{d}{v} = \frac{8\ 050\ km}{650\ km/h} = \bf 12,38\ h

b) La velocidad media en el frenado será:

v = \frac{d}{t} = \frac{4\ km}{1,5\ min} = \bf -2,67\frac{km}{min}

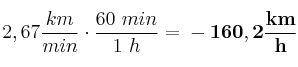
Es una velocidad negativa porque tiene sentido contrario a la velocidad que hemos considerado positiva en el apartado anterior. Lo lógico sería expresar esta velocidad en la misma unidad que hemos utilizado en el apartado anterior. Hacemos la conversión:

2,67\frac{km}{min}\cdot \frac{60\ min}{1\ h} = \bf -160,2\frac{km}{h}