Cálculo de presión y cambios de unidades 0001

, por F_y_Q

Un acróbata de 60 kg realiza un acto de equilibrio sobre un bastón. El extremo del bastón, en contacto con el suelo, tiene un área de 0,92 cm^2. ¿Qué presión ejercerá el bastón, expresada en \frac{lb}{in\cdot s^2}?

P.-S.

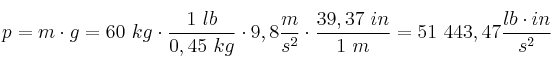
La fuerza que ejerce el acróbata sobre el suelo será su peso. Expresaremos la masa en libras y el valor de g en \frac{in}{s^2}:

p = m\cdot g = 60\ kg\cdot \frac{1\ lb}{0,45\ kg}\cdot 9,8\frac{m}{s^2}\cdot \frac{39,37\ in}{1\ m} = 51\ 443,47\frac{lb\cdot in}{s^2}


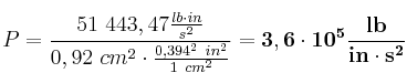
La presión será el cociente entre la fuerza y la superficie del bastón. Expresamos la superficie en in^2:

P = \frac{51\ 443,47\frac{lb\cdot in}{s^2}}{0,92\ cm^2\cdot \frac{0,394^2\ in^2}{1\ cm^2}} = \bf 3,6\cdot 10^5\frac{lb}{in\cdot s^2}