Cálculo de la aceleración en un MRUA (2840)

, por F_y_Q

Un coche circula a 108 km/h y se detiene en 5 s. ¿Cuál será su aceleración de frenado?

P.-S.

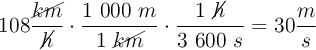
El coche habrá variado su velocidad en 108 km/h en esos 5 s. Primero vamos a convertir la velocidad a unidades del Sistema Internacional:

108\frac{\cancel{km}}{\cancel{h}}\cdot \frac{1\ 000\ m}{1\ \cancel{km}}\cdot \frac{1\ \cancel{h}}{3\ 600\ s} = 30\frac{m}{s}

La aceleración será:

a = \frac{\Delta v}{\Delta t} = \frac{(0 - 30)\ m/s}{5\ s} = \fbox{\color[RGB]{192,0,0}{\bm{- 6\ \frac{m}{s^2}}}}